Beranda
/ Nilai 2X-Y Dari Persamaan Matriks - 60 Soal Dan Pembahasan Matematika Dasar Sma Matriks Defantri Com / Tentukan koordinat titik berat bidang yang dibatasi oleh kurva y=x²+1,sumbu x,sumbu y ,dan garis x=3.
Nilai 2X-Y Dari Persamaan Matriks - 60 Soal Dan Pembahasan Matematika Dasar Sma Matriks Defantri Com / Tentukan koordinat titik berat bidang yang dibatasi oleh kurva y=x²+1,sumbu x,sumbu y ,dan garis x=3.
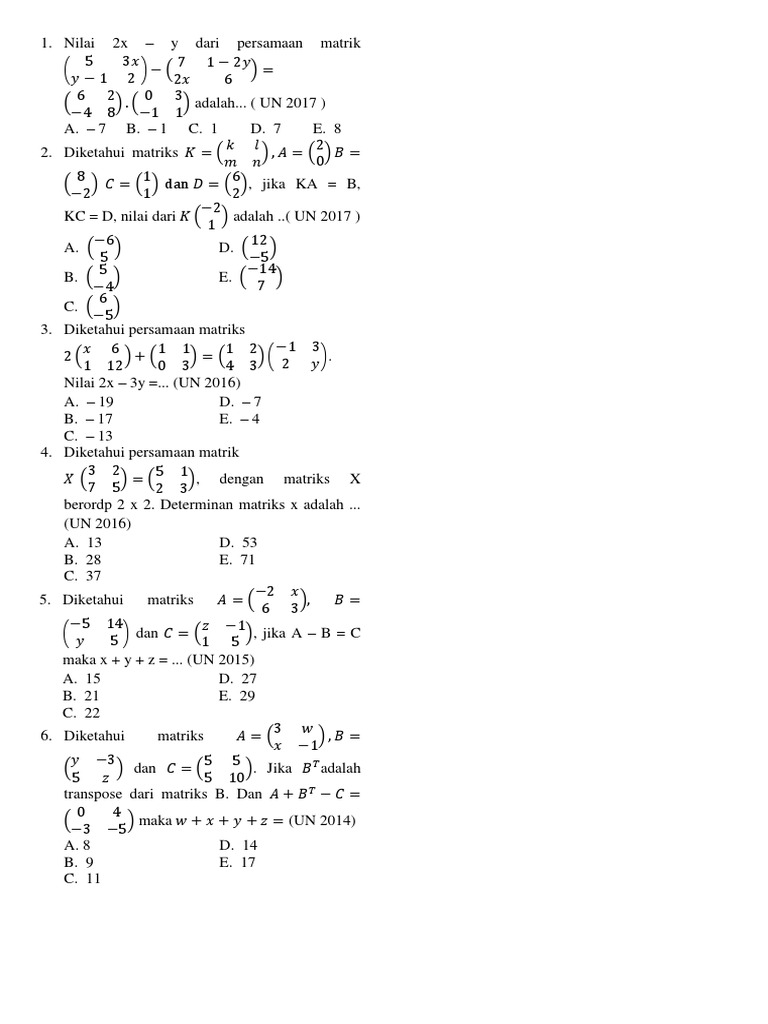
Nilai 2X-Y Dari Persamaan Matriks - 60 Soal Dan Pembahasan Matematika Dasar Sma Matriks Defantri Com / Tentukan koordinat titik berat bidang yang dibatasi oleh kurva y=x²+1,sumbu x,sumbu y ,dan garis x=3.. Nilai x, y, dan z ditentukan dengan rumus. Hasil kalinya adalah jumlah dari hasil kali pembahasan : Kegunaan lain dari invers matriks adalah untuk menentukan penyelesaian sistim persamaan linier. Sekarang akan dibahas beberapa soal yang berhubungan dengan persamaan matriks. 3x − 2 = 7 3x = 7 + 2 3x = 9 x = 3.
Matriks transpose adalah matriks yang mengalami pertukaran elemen dari baris menjadi kolom dan sebaliknya. Sekarang akan dibahas beberapa soal yang berhubungan dengan persamaan matriks. Dari persamaan tersebut, maka dapat diketahui bahwa 2, 5 dan 6 merupakan koefisien di mana 2 merupakan koefisien x , 5 merupakan contoh: Dari kelima pilihan jawaban yang diberikan, hanya pilihan $a$ yang memenuhi. Dari persamaan matriks di atas akan menghasilkan bilangan sesuai baris dan kolom dengan salah satunya memiliki variabel yang akan dicari.
Nilai X Y Dari Persamaan Matriks 2x 4 Brainly Co Id from id-static.z-dn.net Maka jumlah n suku pertamanya adalah …. Diatas, matriksnya pada ruas kanan dan kiri semua mempunyai ordo 2 x 2. Nilai p dari persamaan lingkaran tersebut adalah …. Dari persamaan matriks di atas akan menghasilkan bilangan sesuai baris dan kolom dengan salah satunya memiliki variabel yang akan dicari. 0%0% found this document useful, mark this document as useful. Pilih salah satu dari situasi yang diberikan dan buatlah sebuah kartu ucapan selamatsesuai dengan situasinya seperti contoh diatas.1. Dari operasi matriks dan kesamaan matriks diatas, kita dapat beberapa persamaan, diantaranya: Mengubah persamaan linear kebentuk matriks.
0%0% found this document useful, mark this document as useful.
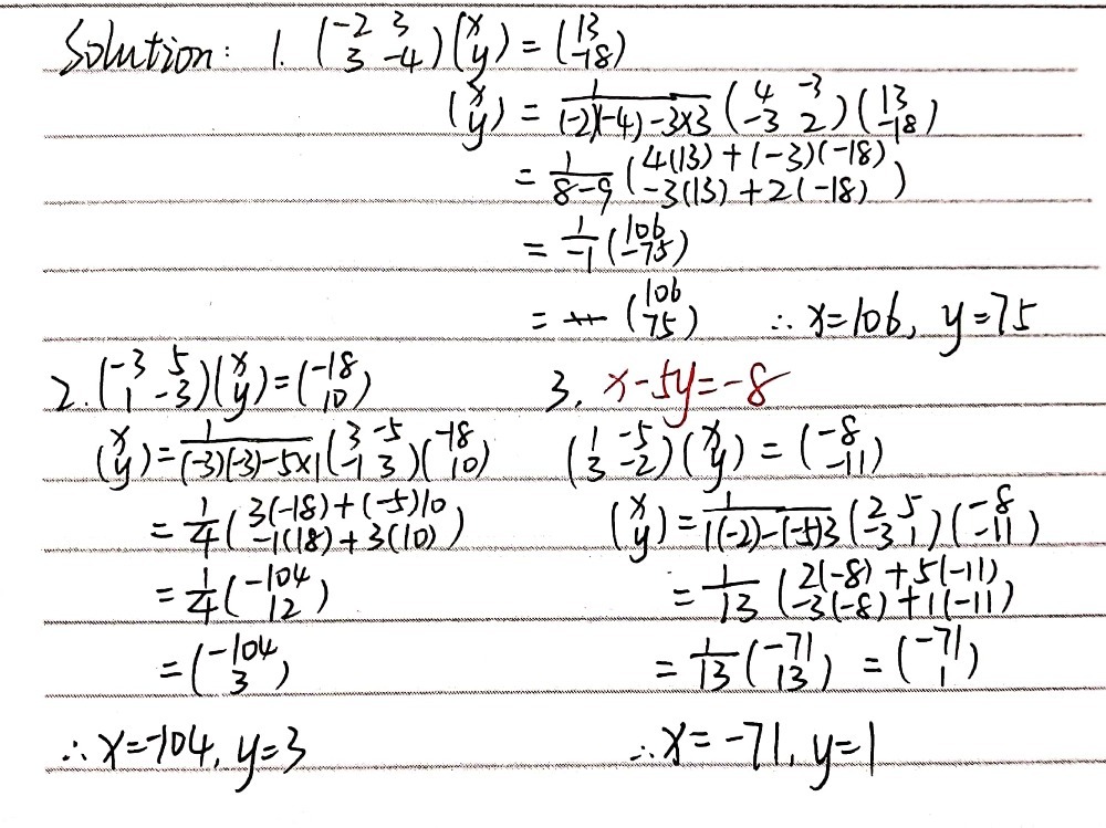
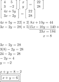
Sistem persamaan linear dua variabel. Pembahasan masih tentang kesamaan dua buah matriks ditambah tentang materi bentuk pangkat, mulai dari persamaan yang lebih mudah dulu: Dari persamaan matriks di atas akan menghasilkan bilangan sesuai baris dan kolom dengan salah satunya memiliki variabel yang akan dicari. Demikianlah ulasan materi cara mencari nilai x dan y pada matriks. Penyelesaian persamaan linear tiga variabel dengan cara determinan. Tambahan untuk persamaan matriks, yaitu transpose matriks. Nilai p dari persamaan lingkaran tersebut adalah …. Apabila a menyatakan matriks koefisien sistem persamaan itu, carilah Turut adalah … jawab : Excel kita dapat menentukan nilai x , y , dan z pada persamaan matriks di atas. Sistem persamaan linear tiga variabel. Mengubah persamaan linear kebentuk matriks. Determinan adalah suatu fungsi yang menghubungkan 7.
Diketahui bahwa p = q. Persamaan tersebut terdiri dari matriks konstanta b di ruas kanan, dan perkalian dari matriks koefisien a dan matriks variabel x di ruas kiri. 2+(a+b)x+c & = x^2+5x+8 \end{aligned}$$diperoleh $a + b = 5$ dan $c = 8$. Hai semuanya.terimakasih banyak udah menonton, semoga videonya bisa difahami dan semoga bisa membantu.kalau ada request untuk video selanjutnya, silakan. Nilai a dari persamaan matriks
Matriks Matriks Adalah Kumpulan Bilangan By Dian Prima Trendi Siburian Medium from miro.medium.com Turut adalah … jawab : 2+(a+b)x+c & = x^2+5x+8 \end{aligned}$$diperoleh $a + b = 5$ dan $c = 8$. Diatas, matriksnya pada ruas kanan dan kiri semua mempunyai ordo 2 x 2. Dari persamaan matriks di atas akan menghasilkan bilangan sesuai baris dan kolom dengan salah satunya memiliki variabel yang akan dicari. Tentu saja teknik penyelesaiannya dengan aturan untuk lebih jelaxnya, ikutolah contoh soal berikut ini: Dari operasi matriks dan kesamaan matriks diatas, kita dapat beberapa persamaan, diantaranya: Mengubah persamaan linear kebentuk matriks. Pilih salah satu dari situasi yang diberikan dan buatlah sebuah kartu ucapan selamatsesuai dengan situasinya seperti contoh diatas.1.
Savesave nilai p yang memenuhi persamaan matrik2 for later.
Diatas, matriksnya pada ruas kanan dan kiri semua mempunyai ordo 2 x 2. Nilai x, y, dan z ditentukan dengan rumus. Excel kita dapat menentukan nilai x , y , dan z pada persamaan matriks di atas. Turut adalah … jawab : Tambahan untuk persamaan matriks, yaitu transpose matriks. By mas dayat april 05, 2020 post a comment. Tentukan koordinat titik berat bidang yang dibatasi oleh kurva y=x²+1,sumbu x,sumbu y ,dan garis x=3. Jadi, himpunan penyelesaianya adalah {(3, 2, 4)}. Dari bentuk matriks di atas, anda dapat membentuk sebuah persamaan sesuai dengan baris dan kolom pada kedua ruas seperti 6+x = 8. Bahasan disertai dengan contoh soal beserta pembahasan yang dapat digunakan untuk meningkatkan kemampuan dan pemahaman materi. Nah yang akan kita bahas selanjutnya ialah cara untuk menyelesaikan sebuah persamaan linear 2 variabel soal no. Apabila a menyatakan matriks koefisien sistem persamaan itu, carilah Sistem persamaan linear dua variabel.
2+(a+b)x+c & = x^2+5x+8 \end{aligned}$$diperoleh $a + b = 5$ dan $c = 8$. Sebab, 7 nilainya tetap dan tidak terpengaruh dengan berapa pun variabelnya. Nah yang akan kita bahas selanjutnya ialah cara untuk menyelesaikan sebuah persamaan linear 2 variabel soal no. Dari kelima pilihan jawaban yang diberikan, hanya pilihan $a$ yang memenuhi. Nilai p dari persamaan lingkaran tersebut adalah ….
Nilai 2x 5y Dari Persamaan Matriks Berikut Adalah Brainly Co Id from id-static.z-dn.net Dari bentuk matriks di atas, anda dapat membentuk sebuah persamaan sesuai dengan baris dan kolom pada kedua ruas seperti 6+x = 8. 0%0% found this document useful, mark this document as useful. Nilai a dari persamaan matriks Hitunglah berapa nilai determinan dari matriks ordo 2 x 2 berikut ini : Dapat dinyatakan oleh u n 3n 1. Jika dan i matriks identitas berordo 2 x 2 p. Sekarang akan dibahas beberapa soal yang berhubungan dengan persamaan matriks. Sebab, 7 nilainya tetap dan tidak terpengaruh dengan berapa pun variabelnya.
Sistem persamaan linear tiga variabel.
Nilai x dari determinan suatu matriks perkalian matriks ordo 2x2 menentukan himpunan penyelesaian dari persamaan linear dengan menggunakan cara invers matriks mencari nilai x dan y dalam persamaan matrik matriks part 8. Menentukan invers dari matriks yaitu jadi, x = 4, y = 2. Jadi, deperoleh nilai x = 2 dan y = 1. Matriks a dapat dikalikan dengan matriks b jika banyak kolom matriks a sama dengan banyak baris matriks b. Penyelesaian persamaan linear tiga variabel dengan cara determinan. 0%0% found this document useful, mark this document as useful. Dari kelima pilihan jawaban yang diberikan, hanya pilihan $a$ yang memenuhi. Tentukan himpunan penyelesaian dari sistem persamaan linier tiga variable. Mengubah persamaan linear kebentuk matriks. Sistem persamaan linear tiga variabel. Karena matriks a sama dengan transpose dari matriks b, maka kompas.com/risya fauziyyah eliminasi dua persamaan dari hasil pendefinisian matriks a sama dengan transpose. Persamaan tersebut terdiri dari matriks konstanta b di ruas kanan, dan perkalian dari matriks koefisien a dan matriks variabel x di ruas kiri. Sifat, operasi hitung dan penerapan.
Berbagi
Posting Komentar
untuk "Nilai 2X-Y Dari Persamaan Matriks - 60 Soal Dan Pembahasan Matematika Dasar Sma Matriks Defantri Com / Tentukan koordinat titik berat bidang yang dibatasi oleh kurva y=x²+1,sumbu x,sumbu y ,dan garis x=3."
Posting Komentar untuk "Nilai 2X-Y Dari Persamaan Matriks - 60 Soal Dan Pembahasan Matematika Dasar Sma Matriks Defantri Com / Tentukan koordinat titik berat bidang yang dibatasi oleh kurva y=x²+1,sumbu x,sumbu y ,dan garis x=3."